Counting the sum of cubes for Lucas and Gibonacci numbers
Abstract
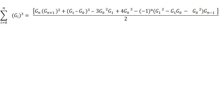
Lucas and Gibonacci numbers are two sequences of numbers derived from a welknown numbers, Fibonacci numbers. The difference between Lucas and Fibonacci numbers only lies on the first and second elements. The first element in Lucas numbers is 2 and the second is 1, and nth element, n ≥ 3 determined by similar pattern as in the Fibonacci numbers, i.e : Ln = Ln-1 + Ln-2. Gibonacci numbers G0 , G1 ,G2 , ...; Gn = Gn-1 + Gn-2 are generalized of Fibonacci numbers, and those numbers are nonnegative integers. If G0 = 1 and G1 = 1, then the numbers are the wellknown Fibonacci numbers, and if G0 = 2 and G1 = 1, the numbers are Lucas numbers. Thus, the difference of those three sequences of numbers only lies on the first and second of the elements in the sequences. For Fibonacci numbers there are quite a lot identities already explored, including the sum of cubes, but there have no discussions yet about the sum of cubes for Lucas and Gibonacci numbers. In this study the sum of cubes of Lucas and Gibonacci numbers will be discussed and showed that the sum of cubes for Lucas numbers is
and for Gibonacci numbers is 